Wyświetlali ochotnikom traumatyzujący film, po czym podali im gaz rozweselający
Naukowcy wybrali "Nieodwracalne", ponieważ w badaniach pilotażowych stwierdzono, że sceny z tego filmu produkują szczególnie silne natrętne wspomnienia (intruzje).
Kategorie
Źródło
Grafika
Odsłony
862Artykuł opublikowany dziś (04.03) w Psychological Medicine przedstawia wnioski z badań, w których naukowcy prezentowali uczestnikom powszechnie odbierane jako traumatyczne sceny z francuskiego filmu Nieodwracalne przed podaniem im podtlenku azotu (znanego jako gaz rozweselający), aby sprawdzić, czy wpłynie to na ich pamięć o niepokojących scenach.
Naukowcy z University College w Londynie pod kierunkiem Raviego Dasa postanowili zbadać, jak podtlenek azotu może wpływać na przetwarzanie przez mózg "natrętnych" wspomnień, takich jak te, których doświadczają osoby z zespołem stresu pourazowego (PTSD).
Nasze zainteresowanie podtlenkiem azotu wynika z tego, że wiemy, że blokuje on pewne receptory ważne dla sposobu, w jaki wspomnienia są stabilizowane, zwane receptorami NMDA.
- wyjaśnia Das.
Receptory NMDA okazały się być związane z konsolidacją pamięci, zespół sugeruje zatem, że "blokowanie" ich za pomocą podtlenku azotu po traumatycznym wydarzeniu "może uniemożliwić długoterminową konsolidację nieprzystosowawczych śladów pamięciowych, zmniejszając symptomy PTSD."
Naukowcy byli szczególnie zainteresowani podtlenkiem azotu także dlatego, że jest on często stosowany jako środek przeciwbólowy przez służby ratunkowe, toteż zastanawiali się, czy jego podawaniu ludziom po wypadku mogą towarzyszyć niezamierzone efekty.
Pięćdziesięcioro dwoje ochotników obejrzało dwa raczej trudne do zapomnienia klipy z kontrowersyjnego filmu Gaspara Noé: scenę, w której bohater brutalnie miażdży twarz drugiego mężczyzny przy użyciu gaśnicy (którą British Board of Film Classification określa jako "niezwykle wyrazistą") i obrazową scenę gwałtu znaną z jej długości (około 10 przerażających minut), sfilmowaną ze stałego punktu widzenia, którą widz ogląda niejako "w czasie rzeczywistym".
W badaniu oglądanie filmu jest analogiem dla przeżywania prawdziwej traumy. "Nie możemy rzecz jasna sprokurować ludziom autentycznego zespołu stresu pourazowego" - powiedział Das, tłumacząc, że wcześniejsze prace wykazały, że oglądanie nieprzyjemnych klipów filmowych może doprowadzić do podobnego rodzaju "natrętnych wspomnień" – niezależnych od woli, spontanicznych myśli - jakie występują w PTSD (choć oczywiście w tym wypadku efekt ten jest znacznie słabszy).
Naukowcy wybrali Nieodwracalne, ponieważ w badaniach pilotażowych stwierdzono, że sceny z niego produkują silne natrętne wspomnienia. "Wydawało się, że działają lepiej, niż ziarniste materiały z wypadków na niemieckich autostradach i inne rzeczy, których próbowaliśmy wcześniej" - powiedział Das.
Po oglądaniu klipów połowie uczestników podawano przez 30 minut mieszaninę tlenku azotu i tlenu ( "gazu i powietrza"), podczas gdy druga połowa wdychała samo powietrze. Uczestnicy prowadzili dziennik, w którym odnotowywali natrętne wspomnienia (intruzje) związane z filmem pojawiające się w ciągu następnych dni.
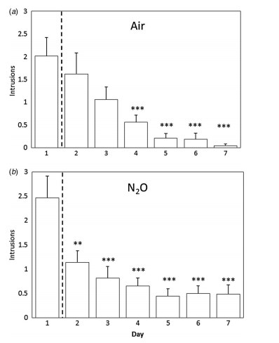
Badanie wykazało, że grupa, której członkom został podany podtlenek azotu, wykazywała "znacząco szybszy spadek częstości intruzji niż w grupa wdychająca powietrze." Choć mieli oni mniej więcej tę samą liczbę intruzji, ich częstotliwość spadała w szybszym tempie.
Wykres przedstawia liczbę zgłaszanych "natrętnych wspomnień" związanych z filmem dla każdej grupy po obejrzeniu go w Dniu 1. Linia przerywana przedstawia pierwszą noc snu; różnica pojawiająca się w Dniu 2 jest przedmiotem szczególnego zainteresowania naukowców.
Wydawało się, że - tak jak to zakładaliśmy na podstawie ze sposobu, w jaki działa - podtlenek azotu zablokował stabilizację wspomnień z filmu w dłuższej perspektywie. Obserwujemy to po śnie, bo wiemy, że sen ma kluczowe znaczenie dla tego procesu.
- powiedział Das.
Choć w celu przedstawienia sugestii zastosowania klinicznego potrzebne jest przeprowadzenie wielu jeszcze badań, Das powiedział, że tlenek azotu w ostatecznym rozrachunku może być potencjalnie wykorzystywany w terapii ludzi, którzy doświadczyli traumy, np. wobec żołnierzy.
W tym przypadku (podczas badania) gaz podawany był bezpośrednio po traumatycznym wydarzeniu, ale Das chce obecnie zbadać, czy możliwa będzie "destabilizacja" istniejącej pamięci, a następnie wypróbowanie tego sposobu.
Naszym kolejnym krokiem będzie zbadanie, czy możemy uzyskać te same efekty przez destabilizację zapisanej pamięci nieprzyjemnych scen z filmu, a następnie podanie podtlenku azotu. I jeśli okaże się możliwe, będzie to znaczyć, że nie ma w zasadzie żadnych ograniczeń czasowych co do tego, kiedy można tę metodę zastosować, jest więc to dla nas bardzo ekscytujące.

