przyjmuje 25mg sertraliny + 300 mg moklobemidu na fobie społeczną/natręctwa myślowe/ zab. lękowe i niestety bardzo cierpi moje libido i jakoś orgazmów. W związku z powyższym, czy macie jakiś sprawdzony sposób (suplementacja/dieta) na niwelacje lub złagodzenie obnizenia libido przy ssri? Dodawanie kolejnego leku nie wchodzi w grę. Jeżeli potrafi ktoś polecić coś na prawdę skutecznego by odzyskać cheć i przyjemność z orgazmu, byłbym wdzięczny ponieważ związk mi się sypie a odstawnieie leków tylko pogarsza sprawę ponieważ natręctwa myślowe się nasilają i o erekcji nie ma mowy. Dodam, że próbowalem wielu suplementów (boostry testostronu, sporo afrodyzjaków ziołowych itp itd) jednak nie znalazłem niczego na prawdę skutecznego. Jakieś pomysły?
Pozdrawiam i z góry dziękuję za odpowiedź
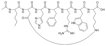
Znaleziony w internecie wzór:
[ external image ]
Ciekawa cząsteczka :cheesy:
Łaczac moklo z ssri czulem sie rozbity nie moglem funkcjonowac. Dorzucajac buspiron do moklo wszytko bylo ok. Widze ze ty setraline jeszcze bierzesz. Jesli nic zlego sie nie dzieje to sproboj moze jeszcze buspiron.
Śmierć na zamówienie. Z dostawą na oddział psychiatryczny
Marihuana to gorsze wyniki w nauce i stres emocjonalny
Ciemna strona zieleni: Wszystko, co musisz wiedzieć o negatywnych skutkach nadużywania konopi
Nastolatek sprzedawał narkotyki kolegom. Pomagała mu 13-latka
Policjanci z Oruni rozpracowali sprawę, która zaczęła się od niepokojącego zgłoszenia o 13-latce handlującej narkotykami wśród rówieśników. Szybko okazało się, że dziewczynka nie działała sama. Jej "szefem" był 18-latek.
Rekiny na „bombie”. Przechodzą pozytywnie testy na narkotyki i kofeinę
Rekiny pod wpływem kokainy? To brzmi jak przepis na absurdalny horror. Niestety, to nasza ziemska rzeczywistość. U drapieżnych ryb żyjących w rajskich wodach Bahamów wykryto obecność narkotyków, leków i kofeiny. To nie oznacza jednak, że rekiny zmieniły styl życia na „imprezowy” – to my zmuszamy je do udziału w niebezpiecznym eksperymencie chemicznym.
Kawa dobrze wpływa na zdrowie psychiczne. W umiarkowanych ilościach
Po przeanalizowaniu danych dotyczących ponad 400 000 osób, naukowcy z Uniwersytetu Fudan doszli do wniosku, że picie umiarkowanych ilości kawy – dwóch lub trzech filiżanek dziennie – jest powiązane z mniejszym ryzykiem wystąpienia lęków i depresji. Ochronne działanie kawy było bardziej widoczne u mężczyzn niż u kobiet.
